Reporter
E-novice
Digitalna naročnina
Reporter
Naroči

Resnica se je spremenila v laž o Patrii


Berglundova Resnica o Patrii se je ob začetku sojenja v Sloveniji spremenila v laž. V javnost curljajo dokumenti iz preiskave o Patrii, o katerih Mladina in Delo nista želele poročati, čeprav sta z njimi razpolagala.

PDF1.jpg

Reporter
 

Velikost pisave

Manjša
Večja
 

Glavni motiv za neporočanje je ščitenje Magnusa Berglunda, avtorja finske oddaje Resnica o Patrii. Ta je namreč svojo oddajo septembra 2008 zaključil z neposredno trditvijo, da črka J v dokumentih podjetja Patria pomeni Janeza Janšo, predsednika slovenske vlade. Patria je po trditvi v njegovi oddaji podkupila Janšo, ki da potrebuje denar za pokojnino.
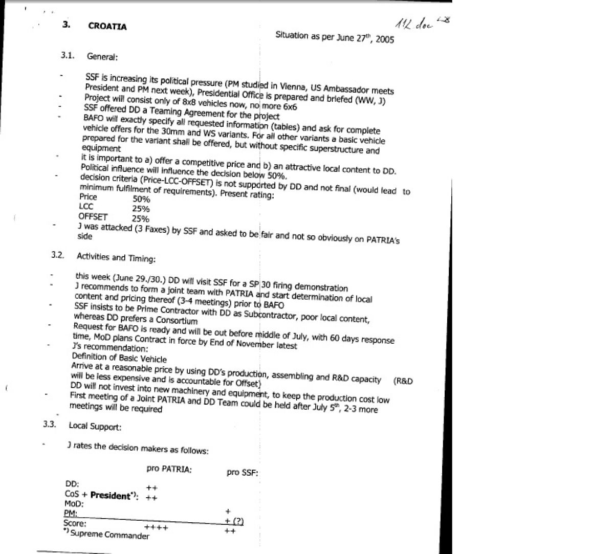
Iz dokumentov izhaja, da vodilni v podjetju Patria in njihovi lobisti črko J uporabljajo za poimenovanje tako hrvata Bartola Jerkovića, direktorja tovarne Đuro Đaković kot slovenskega lobista Jureta Cekuto. Medtem ko so se nekatere trditve Magnusa Berglunda iz njegove oddaje, ki se nanašajo na Walterja Wolfa, Wolfganga Riedla in Jureta Cekuto v policijski in tožilski preiskavi izkazale za potrjene, pa so te iste aktivnosti povsem zavrnile njegovo glavno trditev, da je Patria podkupila Janšo, ker naj bi ta potreboval denar za pokojnino. Celo politično motivirana tožilka Branka Zobec Hrastar tega ni mogla zapisati v obtožni predlog, temveč se je zatekla k formulaciji, da naj bi Janša »neugotovljenega dne na neugotovljen način in na neugotovljenem kraju prejel obljubo nagrade« in še to ne zase, temveč menda za druge.
V dokumentu, ki so ga lobisti poslali Patriji dejansko govorijo o tem, da J skrbi pokojnina, vendar je iz celotnega dokumenta in ostale korespondence popolnoma jasno, da ta J ni Janša, temveč Jerković. Možno je, da so Berglundu slovenski »soavtorji« oddaje (Kos, Zgaga, Švajger, Potočnik) očitno podtaknili zgolj izbrane dokumente in ga zavedli ali pa je sam namerno lagal.
V priloženih dokumentih je še veliko zanimivih informacij, ki dobro dodatno osvetljujejo ozadje Velikega poka iz Finske. Potrjujejo domnevo, da so se Patriini lobisti na veliko širokoustili in prikazovali svoje domnevne zveze v Sloveniji (in tudi drugod) na najvišjih nivojih, samo da bi lahko zaračunali visoke provizije. Najbolj očitno zlagane trditve, ki so jih lobisti prodajali vodstvu Patrije in ki so navedene v prilogah, so: da je Zagožen predsednik največje vladne stranke, da bo nov obrambni minister Matjaž Šinkovec, da je Zagožen poslanec in desna roka predsednika vlade, da je Zagožen generalni sekretar SDS, da je bil Zagožen v 90 letih vodja obveščevalne službe, da je W. Wolf dober prijatelj predsednika vlade (mišljen je J. Janša), da so leta 2005 v Sloveniji na oblasti iste stranke kot leta 1997, ko je W. Wolf pomagal Riedlu prodati železarni Ravne projekt Valuk, da je bil PV Janša junija 2005 na uradnem obisku na Dunaju, da bo del provizije dobil kontakt 007 (Riedl je v preiskavi priznal, da si je ta kontakt izmislil, da bi sam dobil večjo provizijo).
Še posebej zanimivo je sporočilo Riedla Niittyenenu z dne 27. 7. 2006, v katerem prvi govori o tem, da je njihov »glavni igralec v Sloveniji isti kot na Hrvaškem«. Kdo naj bi to bil? Zagožen kot prvoobtoženi na slovenskem sodišču zagotovo ne, logično pa je da to ne more biti Walter Wolf, kajti slovensko tožilstvo mu očita zgolj pomoč pri posredovanju obljube. Ali pač in je Branka Zobec Hrastar v svoji politični slepoti povsem spregledala očitna dejstva iz preiskave. Dokument Patrie z dne 27. 6. 2005 pa bo spravil v zadrego ali celo v kazenski postopek prejšnjega predsednika Hrvaške Stipeta Mesića, saj ga je J (Jerković) očitno navedel kot glavno osebo, ki je v Hrvaški politiki naklonjena Patriji.

Ključne besede
Reporter

Ostanite obveščeni


Prejmite najboljše vsebine iz Reporterja neposredno v svoj poštni predal.

REPORTER MEDIA, d.o.o. © 2008-2025

 

Vse pravice pridržane.